Ordinaria 24-25
Atrás Arriba Siguiente

 

a)    Suponiendo que los planetas del Sistema Solar se mueven en órbitas circulares con los radios orbitales dados en la siguiente tabla, obtenga la masa del Sol y el periodo orbital de Venus y Marte

 

 Planeta

Venus

Tierra

Marte

Radio orbital (millones de km)

106

147

223

Radio del planeta (veces el radio de la Tierra)

0,95

1,00

0,53

Masa (veces la masa de la Tierra)

0,72

1,00

 

Periodo orbital (días terrestres)

 

365

 

 

b)    Explique qué es el potencial gravitatorio y dé la expresión del potencial gravitatorio generado por una masa m a una distancia r.

 

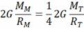
c)     Calcule la energía mecánica del planeta Venus en su órbita y la masa de Marte en términos de la masa Terrestre, si la velocidad de escape de Marte es la mitad que la de la Tierra.

 

Datos: Constante de gravitación universal: 6,67·10-11 N·m2/kg2; Radio de la Tierra: 6370 km; Masa de la Tierra: 5,972·1024 kg.

 

SOLUCIÓN

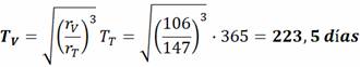
a)     Podemos obtener directamente los periodos orbitales aplicando la tercera ley de Kepler tal como fue formulada por Kepler para los planetas que orbitan en torno al Sol:

Aplicándolo a los 3 planetas que se proponen:

Resolviendo con los datos de la tabla:

Haciendo lo mismo con Marte:

Hemos usado unidades cualesquiera, con tal de ser las mismas, pues solo interviene proporción de valores

Para obtener la masa del Sol necesitamos además la LGU

Aplicándola al caso de la Tierra podemos escribir:

Nótese que aquí sí debemos utilizar unidades del S.I.

También podríamos haber resuelto esta cuestión de la masa del Sol en primer lugar y después con la misma expresión haber obtenido los periodos orbitales de Venus y Marte. Pero habría que haber utilizado los radios orbitales de ambos en unidades del S.I.

b)     Ver Septiembre 99-00, Opción B

c)      La energía mecánica de un astro en órbita circular es igual a la mitad de su energía potencial. Por tanto podemos escribir:

Observemos que la energía total es negativa, coherente con que el sistema es un sistema ligado y esa es la energía que habría que comunicar a Venus para que abandonara el sistema solar

La velocidad de escape desde la superficie de un astro es:

Imponiendo la condición de que la velocidad de escape de Marte es la mitad que la de la Tierra, obtenemos:

Que tras simplificar obtenemos: