Extraordinaria 24-25
Atrás Arriba

 

a) Explique el concepto de energía potencial gravitatoria. ¿Qué energía potencial gravitatoria tiene una partícula de masa m situada a una distancia r de otra de masa M?

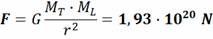
b) De forma simplificada, la fuerza gravitatoria de la Tierra mantiene a la Luna orbitando a su alrededor. Sabiendo que la Luna tarda 28 días en realizar una órbita completa, ¿a qué distancia del centro de la Tierra se encuentra? ¿Cuánto vale la fuerza gravitatoria que se ejercen ambos astros el uno al otro? Dibuje el sistema Tierra-Luna y la fuerza gravitatoria que actúa sobre la Luna debida a la Tierra.

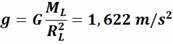
c) La densidad promedio lunar es de 3,34 g/cm3. ¿Cuál será su radio promedio? ¿Y el valor de la aceleración de la gravedad en la superficie de la Luna?

Datos: Constante de gravitación universal: 6,67·10-11 N·m2/kg2; Masa de la Tierra: 5,972·1024 kg; Masa de la Luna: 7,349 × 1022 kg.

SOLUCIÓN

a)     Ver Junio 97-98, Opción A

b)     Primero pasaremos el dato del periodo lunar a unidades del S.I.

T = 28 días = 2,4192·106 s

Ahora, haciendo uso de la tercera ley de Kepler combinada con la LGU de Newton,

Obtenemos r = 389,4·106 m que será la distancia a que se encuentra la Luna del centro de la Tierra

Para obtener la fuerza gravitatoria que se ejercen ambos, utilizamos la Ley de Gravitación Universal junto al radio obtenido:

c)      Como en el apartado anterior debemos pasar el valor de la densidad a unidades de S.I.:   ρ = 3,34 g/cm3 = 3340 kg/m3

Ahora calculemos el radio promedio de la Luna mediante la definición de densidad y recordando el volumen de una esfera:

El valor de la aceleración de la gravedad en la superficie será el de la intensidad de campo gravitatorio, es decir:

Recuerda que las unidades de intensidad de campo gravitatorio (N/kg) y las de aceleración (m/s2) son equivalentes