Como la fuerza de atracción gravitatoria es una fuerza conservativa, el trabajo desarrollado por esa fuerza únicamente depende de la posición inicial y final, pero no depende de la trayectoria seguida.
En estas condiciones, el trabajo desarrollado por la fuerza conservativa lleva asociada una función de energía potencial cambiada de signo, o dicho de otro modo, la variación negativa de la energía potencial gravitatoria viene medida por el trabajo desarrollado por la fuerza de atracción gravitatoria:


Como lo que en realidad interesa es la variación de la energía potencial, basta con asociar a una posición de referencia inicial el valor de energía potencial igual a 0. Por ejemplo, se asigna el valor de energía potencial igual a cero al punto en el que la fuerza gravitatoria sea cero. Pero se puede tomar cualquier otro punto de referencia.

Según este resultado, la energía potencial gravitatoria corresponde al trabajo realizado por la fuerza gravitatoria, cambiado de signo, para trasladar la masa m desde el infinito hasta la distancia r de la masa M.
Potencial gravitatorio en un punto corresponde a la energía potencial gravitatoria que adquiere la unidad de masa colocada en ese punto.

El potencial gravitatorio en un punto corresponde al trabajo realizado por la fuerza gravitatoria, cambiado de signo, para trasladar la unidad de masa desde el infinito hasta ese punto P, situado a una distancia r de la masa M.
Potencial gravitatorio que crea una partícula de masa M en un punto P:
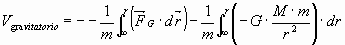
Teniendo en cuenta lo anterior, el potencial gravitatorio que crea una partícula de masa M se puede calcular por el trabajo por unidad de masa cambiado de signo, realizado por la fuerza de atracción gravitatoria para llevar la unidad de masa desde el punto de referencia (infinito) hasta el punto P.


Resolviendo la integral, se obtiene una expresión para el potencial gravitatorio creado por una partícula puntual de masa M:

Las superficies equipotenciales son aquellas que engloban todos los puntos que se encuentran al mismo valor de potencial gravitatorio. Según la expresión anterior, todos los puntos que se encuentran a la misma distancia de la masa M tendrán el mismo valor de potencial y, por lo tanto, forman parte de una superficie equipotencial.
Las superficies equipotenciales de una masa puntual M son superficies esféricas centradas en la masa M.
Por lo tanto el trabajo desarrollado por el campo gravitatorio creado por el sistema de las dos esferas corresponderá a la variación de energía potencial entre la posición inicial (A) (los centros de las esferas distan 10 R) y la posición final (B) (los centros de las esferas distan 2 R).

El trabajo realizado por el sistema se invierte en la variación de la energía cinética de la esfera que se ha dejado libre.

Igualando ambas expresiones, se obtiene la velocidad con la que la esfera que se deja libre llega a chocar con la fija:
