Un electrón con energía cinética inicial 100 eV penetra en la región sombreada de la figura, de anchura d = 10 cm, donde se sabe que existe un campo eléctrico uniforme. Se observa que el electrón atraviesa dicha región sin desviarse de su trayectoria rectilínea inicial, pero su velocidad a la salida es la mitad de la inicial. Calcula:
-
La velocidad inicial vo del electrón.
-
El módulo y orientación del campo eléctrico dentro de esa región.
Datos: e = -1,6·10-19 C; me = 9,1·10-31 kg
SOLUCIÓN
- La energía cinética es por definición

Por lo que podemos despejar la velocidad inicial como:

Para poder obtener el resultado debemos pasar los 100 eV de la energía inicial a Julios, utilizando la relación:
1 eV = 1,6·10-19 C · 1 V = 1,6·10-19 J
Con lo que obtenemos para el valor solicitado:
v0 = 5,93·106 m/s
- Se puede afrontar el problema desde dos puntos de vista: el dinámico y el energético.
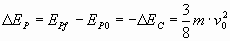
- Desde el punto de vista energético, la energía cinética del electrón ha disminuido, al disminuir la velocidad, debido a que el campo eléctrico ha efectuado un trabajo sobre el electrón en la región sombreada:

Al ser la fuerza eléctrica conservativa, este trabajo realizado por el campo lo podemos expresar como -D
EP, con lo que obtenemos que de la primera placa a la segunda el electrón ha aumentado su energía potencial en:

Pero además sabemos que Δ
EP = q·Δ
V
Por lo que resumiendo ambas expresiones obtenemos:

Así pues la placa positiva es la primera mientras que la negativa es la segunda.
Una vez obtenida la diferencia de potencial entre placas, podemos calcular el campo eléctrico en el interior, al ser este uniforme, utilizando la expresión:

Este campo llevará la dirección del eje X y sentido el de avance del electrón (de la placa positiva a la negativa)
- Desde el punto de vista dinámico, al penetrar en la región sombreada donde existe un campo uniforme, el electrón se verá sometido a una fuerza constante que debe ir dirigida en la dirección del movimiento pero en sentido contrario para reducir su velocidad a la mitad sin cambiar su dirección. Por tanto debe llevar un movimiento rectilíneo uniformemente retardado, del cual podemos hallar la aceleración utilizando las ecuaciones de dicho movimiento:

Ahora podemos obtener la fuerza que produce dicha aceleración mediante el segundo principio de Newton:

Y, de aquí, obtener el valor de la intensidad del campo eléctrico que produce esa fuerza sobre el electrón:

Este campo eléctrico llevará la misma dirección que la fuerza pero sentido contrario al ser el electrón una carga negativa, así pues el campo llevará la dirección del eje X positivo
|