Junio 98-99, Opción A
Atrás Principal Siguiente

 

  1. Explica el concepto de potencial eléctrico. ¿Qué potencial eléctrico crea una carga puntual?. Dibuja sus superficies equipotenciales.

  2. Considera dos cargas puntuales fijas q1 = 1 μ C y q2 = -2 μ C separadas una distancia L = 30 cm. Determina la distancia a q1 del punto sobre la recta que una ambas cargas donde el potencial eléctrico es nulo. ¿Es también nulo allí el campo eléctrico?.

 

SOLUCIÓN

  1. Potencial eléctrico en un punto corresponde a la energía potencial eléctrica que adquiere la unidad de carga positiva colocada en ese punto.

El potencial eléctrico en un punto corresponde al trabajo realizado por el campo eléctrico, cambiado de signo, para trasladar la unidad de carga positiva desde el infinito hasta un punto P.

Si ese trabajo lo realiza el propio campo eléctrico, el potencial será negativo; esto significa que la energía potencial de la unidad de carga positiva será menor en ese punto que en el origen de referencia. Se puede decir que el trabajo que realiza el campo eléctrico es lo que disminuye la energía potencial de la unidad de carga positiva.

Si ese trabajo lo realiza un agente externo en contra de las fuerzas del campo, el potencial en ese punto será positivo; esto significa que la energía potencial de la unidad de carga positiva será mayor en ese punto que en el origen de referencia. Podemos decir que ese trabajo que se realiza en contra del campo se acumula en forma de energía potencial de la unidad de carga positiva (potencial) dentro del campo eléctrico.

Potencial eléctrico que crea una carga puntual Q en un punto P:

Teniendo en cuenta lo anterior, el potencial eléctrico que crea una carga Q se puede calcular por el trabajo por unidad de carga positiva, cambiado de signo, realizado por la fuerza eléctrica para llevar la unidad de carga positiva desde el punto de referencia (infinito) hasta el punto P.

La unidad de potencial eléctrico en el S. I. Es el Julio/Culombio que recibe el nombre de Voltio.

Según la expresión anterior, el potencial en un punto es negativo si la carga que origina el campo es negativa y, por el contrario, es positivo si la carga que crea el campo es positiva.

Las superficies equipotenciales son aquellas que engloban todos los puntos que se encuentran al mismo valor de potencial eléctrico. Según la expresión anterior, todos los puntos que se encuentran a la misma distancia de la carga Q tendrán el mismo valor de potencial y, por lo tanto, forman parte de una superficie equipotencial.

Las superficies equipotenciales de una masa puntual Q son superficies esféricas centradas en la carga Q.

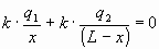
  1. Llamando x a la distancia desde q1 hasta el punto P en el que se anula el potencial creado por las dos cargas, la distancia de la carga q2 hasta el punto P será (L-x).

Para que en el punto P el potencial creado por ambas cargas sea cero debe cumplirse que.

V1 + V2 = 0

Simplificando:

Resolviendo se llega a:

x = 0,1 m

Para que en ese punto fuera nulo el campo eléctrico, la fuerza ejercida por cada una de las cargas sobre la unidad de carga positiva debería ser iguales en módulo y de sentidos opuestos.

Como las dos cargas tienen signos opuestos, considerando la carga q1 situada a la izquierda y la carga q2 a la derecha, la fuerza que ejerza la carga q1 sobre la unidad de carga positiva tendrá sentido hacia la derecha (dos cargas del mismo signo se repelen) y la fuerza que ejerza la carga q2 sobre la unidad de carga positiva también tendrá sentido hacia la derecha (dos cargas de signos opuestos se atraen). Además, la dependencia en el caso de la intensidad de campo creado por una carga puntual es respecto al inverso del cuadrado de la distancia. Por lo tanto, los vectores y tendrán el mismo sentido y distinto módulo y no pueden anularse.