Ordinaria 24-25
Atrás Arriba Siguiente

 Se dispone de una bobina de cobre de radio 15 cm y 250 espiras, que es atravesada por un campo magnético uniforme de 2 T paralelo a su eje. Calcule la fuerza electromotriz (f.e.m.) inducida entre los dos extremos de la bobina, si el campo magnético invierte su sentido, reduciéndose hasta cero y después creciendo en sentido contrario, en un tiempo Δt = 500 ms. Si se mantiene constante el campo y se reduce progresivamente el área de la bobina a la mitad en el mismo tiempo, ¿cuál será la fuerza electromotriz inducida?

 

SOLUCIÓN

 

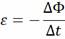
Según la ley de Faraday-Lenz, la fuerza electromotriz inducida en un circuito es igual al ritmo de variación del flujo del campo magnético que atraviesa dicho circuito y en el sentido que haga que la corriente inducida produzca un campo magnético que se oponga a dicha variación. Lo que podemos expresar mediante la fórmula:

El flujo del campo magnético a través de la bobina lo podemos obtener como:

Si invertimos el sentido del campo magnético, el flujo tendrá el mismo valor pero con signo opuesto. Por tanto:

Si mantenemos el campo, pero reducimos la superficie a la mitad: