Extraordinaria 24-25
Atrás Arriba

a)     Los dos cables de la figura son infinitos, paralelos y están separados una distancia d = 12 cm. Además conducen sendas corrientes de I1 = 2 A e I2 = 3 A, en los sentidos indicados en la figura. Calcule la fuerza por unidad de longitud que se ejercen entre ellos y haga un dibujo que muestre la dirección y sentido de la fuerza que actúa sobre cada una de las corrientes.

b)     ¿Qué forma tienen las líneas de campo magnético generadas por la corriente I1? ¿Existe algún punto del eje x donde se anule el campo magnético total generado por ambas corrientes? Justifique la respuesta y dé la distancia del punto respecto a la corriente I1.

Datos: Permeabilidad magnética del vacío: 4π·10-7 T·m/A; Carga del electrón: 1,6·10-19 C.

 

SOLUCIÓN

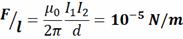
a)            La fuerza por unidad de longitud que se ejercen ambos cables la obtenemos con la fórmula:

Como las corrientes llevan el mismo sentido las fuerzas mutuas serán atractivas a lo largo del eje X:

 

 

 

b)           Las líneas de campo magnético generadas por la corriente I1 serán circunferencias concéntricas centradas en el cable en el plano horizontal XZ y el sentido vendrá dado por la regla de la mano derecha: abrazando con la mano derecha el cable de modo que el pulgar señale el sentido de la corriente, las líneas de campo saldrán por las yemas de nuestros dedos.

 

 

 

Hacemos el dibujo completo también para la corriente I2 con la idea de responder también al resto de preguntas

Como podemos ver en el dibujo en los puntos intermedios entre ambos cables los campos magnéticos llevarán sentidos opuestos, por lo que existirá algún punto del eje X donde se anule el campo total. Simplemente será necesario que B1 = B2

De aquí obtenemos la distancia al cable1, d1 = 0,048 m = 4,8 cm