|
-
¿Qué es un ciclotrón?. Explica brevemente sus fundamentos básicos.
-
Se aceleran protones con un ciclotrón de 0,25 m de radio (radio de extracción), que opera con un campo magnético de B = 0,83 T. Calcula la velocidad final de los protones.
Relación carga/masa de un protón: 9,6·107 C/kg
SOLUCIÓN
- En esencia es un acelerador de partículas cargadas mediante la aplicación de una diferencia de potencial, pero, a diferencia de los aceleradores lineales, los ciclotrones son de forma circular y pueden utilizar corriente alterna sin muchas modificaciones.
Esto es posible gracias a que al aplicar un campo magnético perpendicular al movimiento de una partícula cargada, la trayectoria resultante es circular y el periodo de la órbita resulta independiente de la velocidad de la partícula. Así podemos aplicar las diferencias de potencial que aceleran la partícula de forma sincronizada.
El ciclotrón consta de dos regiones huecas en forma de D, en las que se ha realizado el vacío, conectadas a un generador de corriente alterna y situadas en el seno de un campo magnético uniforme perpendicular a las mismas. Cuando situamos una partícula de carga "q" entre las placas paralelas, esta partícula es acelerada por la diferencia de potencial aplicada, de modo que penetra en una de las D con una velocidad. Allí se ve sometida a un campo magnético perpendicular a su trayectoria y, por tanto sufre la fuerza de Lorentz:

que, para este caso, es una fuerza centrípeta que curva su trayectoria, describiendo un movimiento circular cuyo radio podemos obtener:

luego

El tiempo que le cuesta recorrer la semicircunferencia de la D y llegar a la placa es:

que es independiente de la velocidad con que ha descrito el semicírculo.
Al llegar a la placa, se invierte la diferencia de potencial aplicada entre las placas de modo que vuelva a ser acelerada, consiguiendo una nueva velocidad v’
Con esta nueva velocidad pasa a la otra D del ciclotrón. Allí vuelve a ocurrir lo mismo aunque ahora el radio r’ es mayor al ser mayor la velocidad, pero lo que no varía es el tiempo empleado en recorrer el semicírculo. Así si sincronizamos los cambios de polaridad entre las placas paralelas con el paso de las partículas, conseguiremos sucesivos acelerones de la partícula que harán que los radios de los semicírculos descritos sean cada vez mayores, conforme aumenta su velocidad.
La velocidad máxima que podemos alcanzar depende del radio máximo de las estructuras en forma de D y del campo magnético aplicado, así como de las propiedades de la partícula (q y m).
Uno de los primeros defectos que se observaron fue que conforme se alcanzaban mayores velocidades los efectos relativistas ya no son despreciables por lo que la m varía y por tanto el periodo de revolución. Se solucionó en los años 50 mediante el sincrotrón.
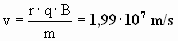
- A esa velocidad los protones realizan la órbita más externa, por lo que despejando de la expresión del apartado anterior:

|