Junio 04-05, Opción A
Atrás Arriba Siguiente

  1. Explica qué es el coeficiente de autoinducción de un circuito.

  2. Por un solenoide de autoinducción L = 0,02 H circula una corriente que decrece con el tiempo en la forma I = I0 – α t – β t2, donde I0 es constante, α = 5 A/s y β = 2,5 A/s2. Determina, en función del tiempo, la f.e.m. autoinducida en el solenoide.

SOLUCIÓN

  1. Según las experiencias de Faraday y Henry sobre inducción electromagnética, toda variación en el flujo magnético que atraviesa un circuito produce en el mismo una corriente inducida por dicha variación.

Por otro lado sabemos que toda corriente origina un campo magnético a su alrededor, proporcional a la intensidad de corriente que circula.

Así pues, una corriente eléctrica variable que circule por un conductor originará un campo magnético variable a su alrededor, y por tanto un flujo magnético variable sobre el propio conductor, lo que inducirá una fuerza electromotriz en él mismo que se opondrá a la variación de la corriente eléctrica que la ha producido.

Este es el fenómeno de autoinducción. Es como una inercia que presentan los circuitos a modificaciones de la corriente.

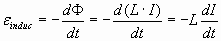
Como el flujo magnético depende del campo magnético y de las características geométricas del circuito, y el campo es proporcional a la intensidad que atraviesa el circuito, podemos concluir que el flujo del campo magnético será proporcional a la intensidad eléctrica, I, que lo atraviesa. Es decir:

Φ = L·I

Donde L resume todos los factores geométricos y del medio del conductor. El coeficiente L recibe el nombre de coeficiente de autoinducción o inductancia.

Así, aplicando la Ley de Farady-Lenz a ese circuito, si circula una corriente variable por el mismo, aparecerá una f.e.m. inducida que se opondrá a esa variación. El valor de dicha fuerza electromotriz será:

La unidad de inductancia en el S.I. es el Henrio (en honor a Henry)

  1. Utilizando la expresión anterior: