Extraordinaria 24-25
Atrás Arriba

 

a)     Se desea fabricar un instrumento musical de viento con una tubería de PVC. Para ello se corta la tubería en trozos de distintos tamaños con los dos extremos abiertos. Si el primer trozo tiene una longitud de 25 cm, calcule la frecuencia del armónico fundamental que producirá. ¿De qué tamaño habrá que cortar el siguiente trozo para que produzca una onda estacionaria cuya frecuencia del armónico fundamental sea 2/3 de la frecuencia del armónico fundamental del primer tubo? Dé la longitud de onda de ambos sonidos.

Datos: Velocidad del sonido en el aire: 346 m/s.

 

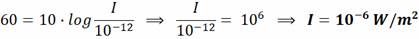
b)     Un barco se aproxima al puerto haciendo sonar su sirena, de 500 W de potencia. El aparato con el que se detecta el sonido tiene un umbral sonoro de 60 dB, con lo que no detecta ningún sonido por debajo de este nivel sonoro. ¿A qué intensidad corresponde este nivel sonoro? ¿A qué distancia empezará a detectar el sonido si la sirena emite de manera uniforme en una semiesfera?

Datos: intensidad umbral de audición: 10-12 W/m2.

 

SOLUCIÓN

 

a)     En un tubo abierto por los dos extremos las ondas estacionarias que se formen deben tener un vientre de oscilación en ambos extremos. Por ello, la forma de la onda estacionaria correspondiente a la frecuencia fundamental o primer armónico debe ser como la de la figura:

 

 

Como la distancia entre dos vientres consecutivos es λ/2, la longitud del tubo será la mitad de la longitud de onda. Y, por tanto:                

λ = 50 cm = 0,5 m

Que corresponde a una frecuencia

f = v/λ = 692 Hz

 

La frecuencia del segundo tubo debería ser por tanto:

f’ = 2/3·f = 461,3 Hz

Que corresponde a una longitud de onda:

λ’ = 0,75 m = 75 cm

Por el mismo razonamiento que en el primer caso, la longitud del tubo deberá ser la mitad de la nueva longitud de onda:

L’ = 37,5 cm

 

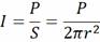
b)     La intensidad sonora se define como:

 

Por lo que esos 60 dB de intensidad sonora corresponden a:

 

 

La intensidad que llegará a una distancia r si emite uniformemente en una semiesfera (S = 2πr2) será:

 

Sustituyendo el valor obtenido de la Intensidad y la potencia de la sirena, despejamos r:

 

r = 8921 m