Sobre un satélite que describe una órbita elíptica alrededor de la Tierra, se ejerce una única fuerza, que es la de atracción gravitatoria.
Como la fuerza de gravitación es una fuerza conservativa, la energía mecánica se conserva a lo largo de la órbita. Esto es, la suma de la energía cinética y la potencial gravitatoria del satélite permanece constante.
Si la órbita es circular, la energía cinética es constante al igual que la energía potencial gravitatoria.
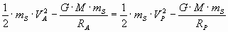
Si la órbita es elíptica, la fuerza gravitatoria puede descomponerse en una componente normal (encargada de modificar la dirección de la velocidad) y otra componente tangencial (encargada de modificar el módulo de la velocidad). Esta última componente realiza el trabajo que corresponde a la variación de las energías cinética y potencial. Como la energía mecánica se mantiene constante por ser la fuerza gravitatoria una fuerza conservativa, esto se traduce en que en los puntos más cercanos a la Tierra (perigeo) la energía cinética aumenta y por lo tanto, la potencial disminuye, mientras que en los puntos más alejados (apogeo) sucede lo contrario.
Conservación momento angular:
La variación del momento angular de un cuerpo respecto a su centro de giro viene medida por el momento de la fuerza que se ejerce sobre él:

Una de las condiciones para las que el momento de la fuerza se anula y, por lo tanto, el momento angular de un cuerpo permanece constante es cuando r y F son paralelos, esto es, la fuerza que se ejerce sobre el cuerpo es central.
Como la única fuerza que se ejerce sobre el satélite es la fuerza gravitatoria y es una fuerza central, el momento angular del satélite respecto al centro de la Tierra permanece constante a lo largo de la órbita.