Esta definición, de trabajo realizado por el campo cambiado de signo, nos permite expresar la energía potencial como el trabajo realizado contra el campo (una fuerza idéntica a la ejercida por el campo eléctrico pero de signo opuesto) para obtener la distribución de cargas del sistema, partiendo del nivel de referencia (que usualmente tomamos como cargas infinitamente alejadas).
Así pues, podemos considerar que el trabajo realizado contra el campo se queda almacenado en forma de energía potencial; y que este trabajo nos será devuelto por el campo cuando dejemos evolucionar al sistema en libertad, disminuyendo su energía potencial mediante un trabajo positivo del campo.
Si la energía potencial de un sistema es negativa quiere decir que el propio campo ha realizado el trabajo para conseguir esa distribución de cargas, mientras que nosotros hemos debido hacer un trabajo negativo (si es preciso) para frenar esas cargas que se aproximaban desde el infinito.
Si, por el contrario, la energía potencial de un sistema es positiva, hemos debido hacer un trabajo positivo contra el campo (que lo habrá hecho negativo) para llegar a esa distribución.
En el caso particular de dos cargas puntuales o con simetría esférica, q1 y q2, situadas a una distancia r, la interacción entre ellas vendrá dada por la Ley de Coulomb:

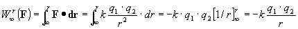
Si calculamos el trabajo realizado por esta F para acercar ambas cargas desde el infinito hasta una distancia r, obtenemos:

Así pues la energía potencial de ese sistema será, como hemos visto antes:

Si las cargas son del mismo signo la energía potencial será positiva: nos habrá costado trabajo acercarlas hasta esa distancia; y si son de distinto signo la energía potencial será negativa: el campo las habrá acercado.
-
Si nos fijamos en los aspectos dinámicos, al ser las dos cargas positivas, la fuerza es repulsiva, por lo que las partículas se alejarán
-
Si nos fijamos en los aspectos energéticos, al ser las dos cargas positivas, la energía potencial es positiva y decrece con la distancia. Los sistemas evolucionan espontáneamente a su menor estado de energía potencial, por lo que el sistema evolucionará alejándose las cargas para así disminuir su energía potencial.
Este segundo razonamiento nos lleva a resolver la última cuestión:
Al dejar el sistema en libertad, actúa únicamente la fuerza electrostática, que es conservativa, por lo que la energía se conservará. Si consideramos situación inicial a la carga q2 en reposo a una distancia de 0,1 m de la 1 y situación final a la segunda carga a triple distancia de la primera alejándose con una velocidad v:

De donde obtenemos:
