Una muestra natural de Litio contiene dos variedades
isotópicas,
y
. Tras un proceso de ionización, los iones producidos
y
son acelerados desde el
reposo mediante el campo electrostático generado por la aplicación de una
diferencia de potencial ΔV = 450 V entre dos placas conductoras.
(figura)
A)
Determina el cociente entre las velocidades del
y del
en cualquier punto de la región de aceleración (0 < x < L). Calcula
las velocidades al atravesar el plano x = L.
B)
En la región x > L existe un campo
magnético
que sale
perpendicular al plano del papel. Cuando penetran en ella ambos tipos de
iones describen trayectorias circulares distintas. Determina el cociente
entre los radios de ambas trayectorias y calcula el radio en el caso del
ión
si el valor del
campo magnético es B = 0,7 T.
Datos: Carga eléctrica elemental, e = 1,6·10-19
C ; unidad de masa atómica, u = 1,66·10-27 kg ; masa del
~
6 u; masa del
~ 7 u
SOLUCIÓN
-
Una primera analogía entre ambos campos es que
ambos campos son producidos por cargas, pero, mientras que el campo
electrostático es producido por cualquier cuerpo que tenga carga neta, el
campo magnetostático es producido por cargas pero en movimiento.
Otra analogía entre ambos campos es que, a
diferencia del campo gravitatorio que es siempre atractivo, ambos pueden ser
atractivos y repulsivos. Existen dos tipos de carga: positiva y negativa, y
dos tipos de polos magnéticos: norte y sur.
Pero, mientras que las cargas positivas son independientes
de las negativas y pueden existir aisladas, los monopolos magnéticos (aun
predichos por Dirac) no han sido observados hasta la fecha y siempre que
tenemos un polo norte tenemos también un polo sur. Esta es una diferencia
entre ambos campos
Esto conlleva una diferencia sustancial entre ambos
campos: las líneas de campo electrostático son abiertas (nacen en las cargas
positiva y mueren en las negativas) y las líneas de campo magnetostático son
cerradas.
Aún podemos citar otra analogía entre ambos campos
y es la dependencia de la fuerza entre dos cargas o dos dipolos magnéticos
con el inverso del cuadrado de la distancia que separa ambas cargas o dipolos
magnéticos.
Otra diferencia entre ambos campos es que el campo
electrostático es central y la fuerza eléctrica lleva la dirección del
campo, mientras que el campo magnético no es central (líneas cerradas) y la
fuerza magnética es perpendicular al campo magnético.
Una
diferencia en línea con los párrafos
anteriores corresponde al valor del flujo de líneas de campo a través de una
superficie cerrada (Ley de Gauss). En el caso del campo eléctrico, ese valor es
proporcional a la carga neta encerrada dentro de la superficie, mientras que en
el caso del campo magnetostático es cero.
Otra
diferencia más es que el campo
electrostático es conservativo mientras que el campo magnetostático no lo es.
-
Lo que nos presenta este apartado es un espectrógrafo de
masas: en la primera fase los iones son acelerado mediante un campo
eléctrico y en la segunda los isótopos son separados mediante un campo
magnético.
A)
En la primera región sólo actúa el campo
eléctrico es conservativo por lo que podremos aplicar el teorema de
conservación de energía para ambos iones:

Así podemos determinar el cociente entre las velocidades
de ambos iones:

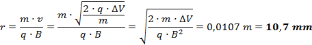
B)
Recordemos que el radio de la trayectoria
circular que describe una partícula cargada en el seno de un campo
magnético es:
Por tanto el cociente entre los radios de curvatura de
ambos iones será:

Para el caso del ión 6Li+,
aplicando lo visto hasta ahora:
