-
Enuncia y explica las Leyes de Faraday y Lenz.
Un alambre conductor se dobla en forma de U, con sus lados paralelos separados una distancia d = 20 cm. Sobre estos lados se apoya una varilla conductora, formando un circuito rectangular por el que puede circular corriente eléctrica. Existe un campo magnético uniforme de intensidad B = 0,2 T perpendicular al plano del circuito y, en la figura, dirigido hacia adentro. La varilla se mueve como indica la figura, con velocidad uniforme v = 0,5
m/s.
-
Calcula la f.e.m. inducida en el circuito.
-
¿En qué sentido circula corriente por la varilla? Razona tu respuesta.
SOLUCIÓN
-
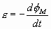
Faraday había observado que al mover un imán en el interior de una bobina conectada a un galvanómetro, éste indicaba paso de corriente, a pesar de que la bobina no estaba conectada a ningún generador. Lo mismo ocurría si era la bobina la que se movía con respecto al imán. Este fenómeno, que denominamos inducción electromagnética (inducir una corriente eléctrica mediante un campo magnético variable), fue interpretado en función de sus líneas de campo y expresado mediante la siguiente ley:
"La fuerza electromotriz e
inducida en un circuito es igual a la variación por unidad de tiempo del flujo magnético
Φ
que lo atraviesa":

El significado del signo menos, viene dado por la ley de Lenz:
"El sentido de la corriente inducida es tal que el campo creado por dicha corriente tiende a oponerse a la variación del flujo magnético que la ha originado"
Esto es un ejemplo más de la tendencia de los sistemas a mantener su estado de equilibrio original mediante fenómenos de acción-reacción, que en definitiva no es más que una consecuencia del principio de conservación de la energía.
Así, si alejamos de una cara de la bobina el polo norte de un imán, con la consiguiente disminución del flujo magnético, la corriente inducida tenderá a generar un campo magnético que, entrando por esa cara, compense la citada disminución; aparecerá pues una cara sur en esa parte de la bobina que atraerá al polo norte que se aleja. Por lo tanto, será preciso realizar un trabajo externo para alejarlo, siendo ese trabajo el origen de la energía eléctrica que produce la corriente.
-
Cuando la varilla se desplaza una distancia dx, la variación de flujo magnético que este desplazamiento origina es debida a que se produce una variación de la superficie por la que entran líneas de campo, dS (dS = d·dx).
Esta variación del flujo magnético puede expresarse como:

(ya que ambos vectores son paralelos)
En la que el campo magnético B es constante y perpendicular a la superficie (los vectores B y S forman un ángulo de 0º) y la superficie tiene un lado fijo, d, y un lado variable, dx.
Sustituyendo en la ecuación de la fuerza electromotriz:

Pero dx/dt corresponde a la velocidad con la que se va desplazando el lado móvil, así:

-
Al desplazarse la varilla en el sentido indicado en la figura, aumenta la superficie, por lo que aumenta el número de líneas de campo que entran en ella.
El sentido de la corriente inducida en el circuito será tal que su propio campo magnético se oponga a la variación producida, tendiendo a recuperar el equilibrio, esto es, las líneas de campo magnético deberán salir de la superficie, por lo tanto el sentido de la corriente inducida será antihorario.
|