En el primer caso

La imagen se forma a 1,2 m a la derecha de la lente, luego será real

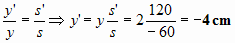
La imagen será mayor (4 cm de altura) e invertida
En el segundo caso:

La imagen se forma a 1,2 m a la izquierda de la lente, luego será virtual

La imagen será mayor (8 cm de altura) y derecha