-
Explica qué es una fibra óptica.
Un rayo de luz incide desde el aire (n = 1) sobre un bloque de vidrio de índice de refracción n1 = 1,5, con ángulo de incidencia
ε
= 30°. Calcula el ángulo de refracción ε’. Después, el rayo alcanza el punto A de separación con otro vidrio diferente, donde se observa que se produce reflexión total. ¿Qué valor debe tener, como máximo, el índice n2 de este segundo vidrio?.
SOLUCIÓN:
- Una fibra óptica es una fina hebra de vidrio, sílice fundida o plástico de diámetros que varían desde varios milímetros a 0,05 micrómetros. Se utilizan como guías de luz basándose en el fenómeno de reflexión total que se da cuando la luz viaja de un medio de mayor índice de refracción a otro de menor para ángulos de incidencia mayores que un cierto ángulo límite.
En la realidad se trabaja con dos cilindros coaxiales: el exterior de un índice de refracción menor, para asegurar la reflexión total independientemente del medio en que se introduzca. Por ejemplo los de vidrio, tienen un índice n = 1,6 mientras que la funda que lo recubre tiene n = 1,5.
Así introducimos un haz de luz en un extremo de la fibra con un pequeño ángulo de incidencia (como se ve en la figura del enunciado), para que los sucesivos ángulos de incidencia en los laterales de la fibra sean de gran valor, con lo que se producirá reflexión total y la luz irá siendo guiada por la fibra longitudinalmente hasta el extremo opuesto y sin apenas pérdidas de energía.
Se suelen transmitir señales infrarrojas por sufrir menos atenuación, pero aún así las frecuencias son muy superiores a las transmitidas en los circuitos eléctricos habituales, por lo que la cantidad de información transmitida por el cable puede ser mucho mayor.
Otra de las aplicaciones importantes es la de llevar luz y transmitir las imágenes desde sitios difícilmente accesibles como puede ser el interior del organismo humano, no necesitando de medidas tan invasivas debido a la flexibilidad del medio.
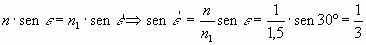
- Aplicando la ley de la refracción de Snell:

Luego ε' = 19,47º
Una vez en el vidrio, el rayo se dirige al punto A, incidiendo con un ángulo
î = 70,53º complementario del calculado ε', como se puede ver en el dibujo:

El índice de refracción del segundo vidrio, n2, ha de ser menor que n1 para que se produzca reflexión total. El fenómeno se producirá para índices de refracción menores que un cierto valor máximo que será aquel para el que el ángulo de incidencia sea exactamente el ángulo límite, es decir que los rayos refractados salgan paralelos a la superficie de separación (ángulo refractado de 90 º).
Por tanto, deberá cumplirse:

Que sustituyendo obtenemos: n = 1,41
Para valores inferiores a ese índice se producirá reflexión total
|