Junio 22-23, Extraordinaria
Atrás Principal Siguiente

 

Se tienen tres partículas cargadas con +2 mC cada una en los vértices 1, 2 y 3 de un triángulo rectángulo, tal y como se muestra en la figura.

a)     Calcula la fuerza electrostática total (módulo y ángulo) que hacen las partículas 1 y 2 sobre la partícula 3.

b)     Calcula (módulo y ángulo) y dibuja el campo electrostático que crea la partícula 3 en el punto 4, situado en el punto (2cm, 3 cm).

c)      Explica el concepto de campo electrostático y da la expresión del campo creado por una carga puntual +q a una distancia r.

 

Datos: Constante de Coulomb K = 9 x 109 N m2 C-2; (no está en el original pero es necesario)

 

SOLUCIÓN

a)            Según el principio de superposición, la fuerza electrostática sobre la partícula 3 será la suma vectorial de la que haga la partícula 1 sobre la 3 (F13) y la que haga la 2 sobre la 3 (F23)

Obtendremos cada una de ellas aplicando la ley de Coulomb. Estas fuerzas llevarán la dirección de la línea de acción que une cada par de cargas y, al ser del mismo signo, serán repulsivas.

  

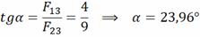
La suma vectorial de ambas al ser perpendiculares tendrá de módulo:

Y el ángulo será:

Que al estar en el tercer cuadrante corresponde con un ángulo de 203,96°

b)           El campo creado por la partícula 3 en la posición 4 llevará la dirección de la recta que los une, sentido hacia fuera de la 3 (al ser positiva) y tendrá de valor:

Su dirección formará un ángulo con el eje X positivo de:

 

c)           Ver Junio 00-01, Opción A